Официальное опубликование правовых актов
ОФИЦИАЛЬНОЕ ОПУБЛИКОВАНИЕ
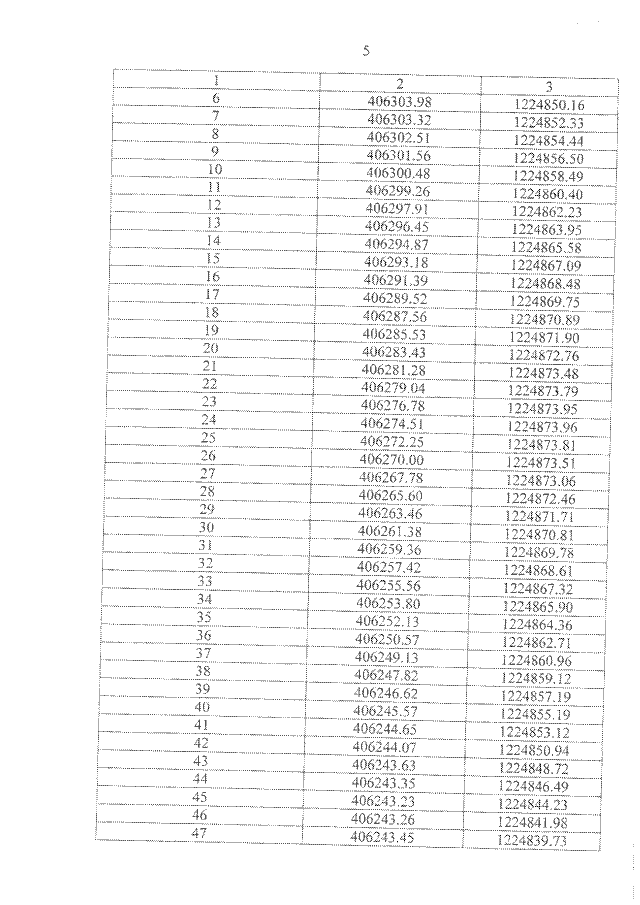
Приказ Департамента охраны окружающей среды и природопользования Ярославской области от 25.01.2021 № 2-н
"Об установлении зоны санитарной охраны"
(Зарегистрирован 01.02.2021 № 13-11139)
Номер опубликования: 7601202102020004
Дата опубликования: 02.02.2021
Страница №6 из 11:
Увеличить