Официальное опубликование правовых актов
ОФИЦИАЛЬНОЕ ОПУБЛИКОВАНИЕ
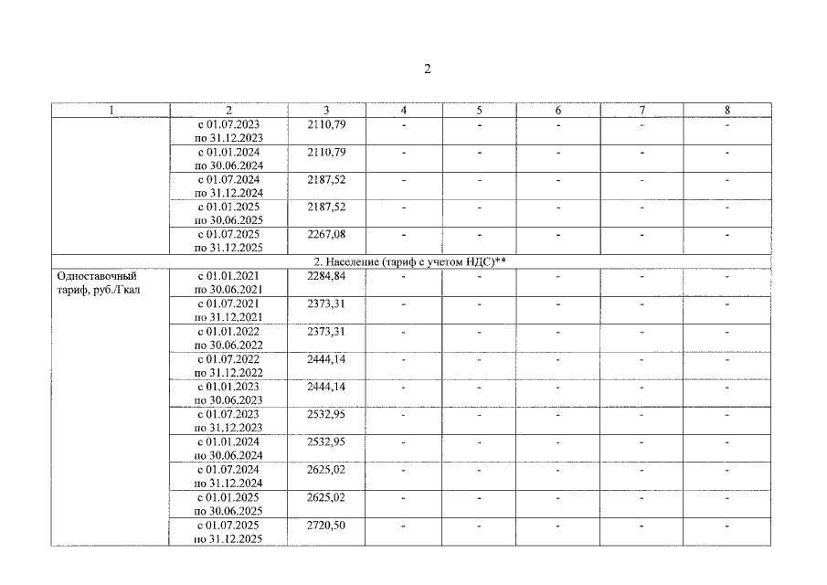
Приказ Департамента жилищно-коммунального хозяйства, энергетики и регулирования тарифов Ярославской области от 17.12.2020 № 247-тэ
"Об установлении тарифов на тепловую энергию, поставляемую потребителям муниципальным унитарным предприятием Рыбинского муниципального района Ярославской области "Система ЖКХ", на 2021 – 2025 годы"
(Зарегистрирован 17.12.2020 № 07-10836)
Номер опубликования: 7601202012250004
Дата опубликования: 25.12.2020
Страница №4 из 6:
Увеличить