Официальное опубликование правовых актов
ОФИЦИАЛЬНОЕ ОПУБЛИКОВАНИЕ
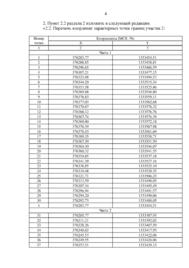
Приказ Департамента охраны окружающей среды и природопользования Ярославской области от 27.12.2019 № 21-н
"О внесении изменений в приказ департамента охраны окружающей среды и природопользования Ярославской области от 20.04.2018 № 25-н"
(Зарегистрирован 30.12.2019 № 13-9930)
Номер опубликования: 7601201912310003
Дата опубликования: 31.12.2019
Страница №4 из 10:
Увеличить