Официальное опубликование правовых актов
ОФИЦИАЛЬНОЕ ОПУБЛИКОВАНИЕ
Приказ Департамента охраны объектов культурного наследия Ярославской области от 03.12.2019 № 106
"О внесении изменений в отдельные приказы департамента культуры Ярославской области"
(Зарегистрирован 03.12.2019 № 36-9567)
Номер опубликования: 7601201912050020
Дата опубликования: 05.12.2019
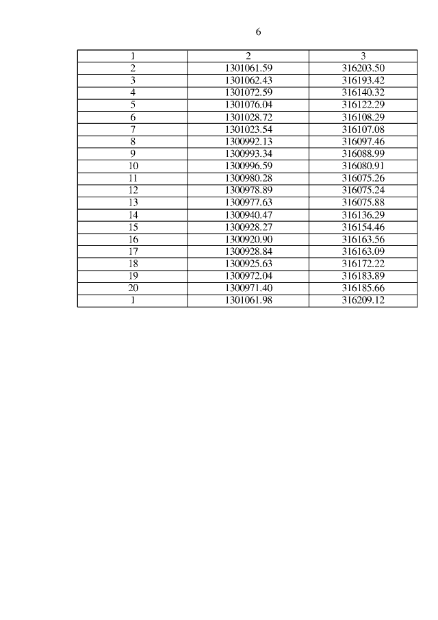
Страница №6 из 6:
Увеличить