Официальное опубликование правовых актов
ОФИЦИАЛЬНОЕ ОПУБЛИКОВАНИЕ
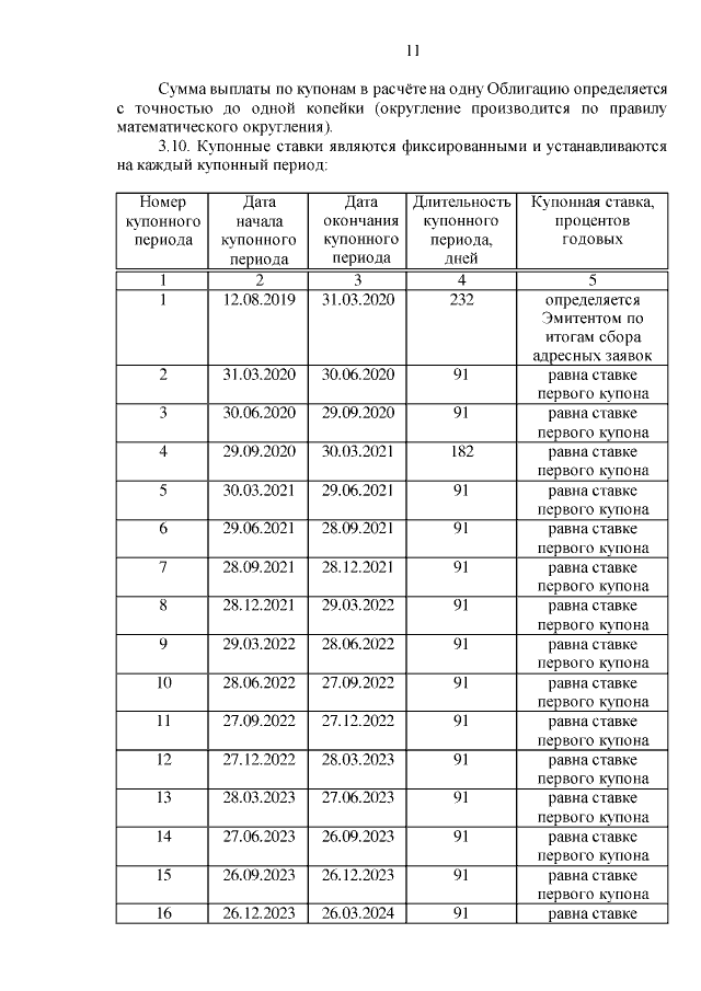
Приказ Департамента финансов Ярославской области от 30.07.2019 № 28н
"Об утверждении Решения об эмиссии государственных облигаций Ярославской области 2019 года с фиксированным купонным доходом и амортизацией долга"
(Зарегистрирован 30.07.2019 № 02-9263)
Номер опубликования: 7601201908050006
Дата опубликования: 05.08.2019
Страница №11 из 19:
Увеличить