Официальное опубликование правовых актов
ОФИЦИАЛЬНОЕ ОПУБЛИКОВАНИЕ
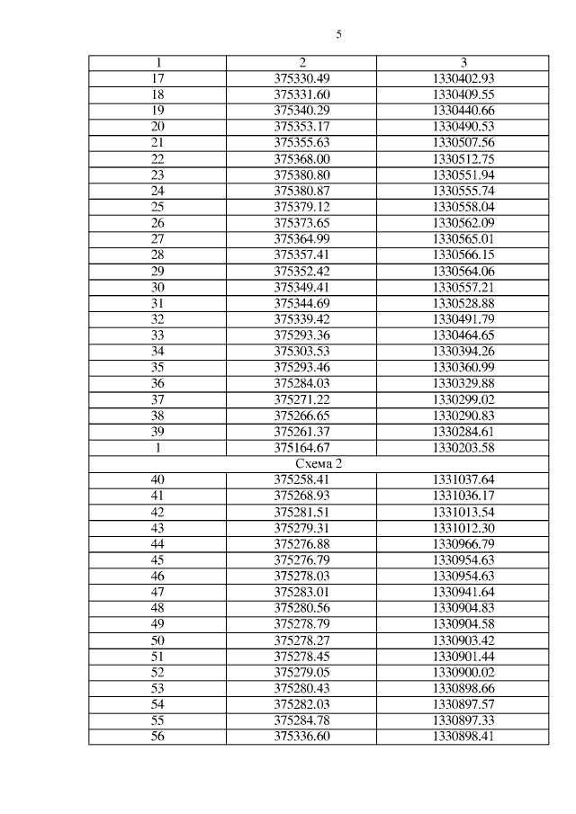
Приказ Департамента охраны объектов культурного наследия Ярославской области от 15.04.2019 № 28
"О включении выявленного объекта культурного наследия в единый государственный реестр объектов культурного наследия (памятников истории и культуры) народов Российской Федерации"
(Зарегистрирован 15.04.2019 № 36-9012)
Номер опубликования: 7601201904160001
Дата опубликования: 16.04.2019
Страница №5 из 8:
Увеличить