Официальное опубликование правовых актов
ОФИЦИАЛЬНОЕ ОПУБЛИКОВАНИЕ
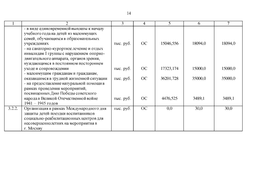
Приказ Департамента труда и социальной поддержки населения Ярославской области от 29.12.2018 № 46-18
"О внесении изменений в приказ департамента труда и социальной поддержки населения Ярославской области от 01.03.2018 № 10-18"
(Зарегистрирован 29.01.2019 № 09-8781)
Номер опубликования: 7601201902010002
Дата опубликования: 01.02.2019
Страница №14 из 23:
Увеличить