Официальное опубликование правовых актов
ОФИЦИАЛЬНОЕ ОПУБЛИКОВАНИЕ
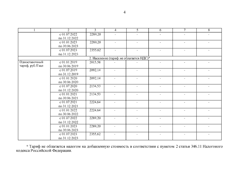
Приказ Департамента жилищно-коммунального хозяйства, энергетики и регулирования тарифов Ярославской области от 20.12.2018 № 368-тэ
"Об установлении тарифов на тепловую энергию, поставляемую потребителям Любимским муниципальным унитарным предприятием жилищно-коммунального хозяйства, на 2019 – 2023 годы"
(Зарегистрирован 20.12.2018 № 07-8627)
Номер опубликования: 7601201812290033
Дата опубликования: 29.12.2018
Страница №4 из 5:
Увеличить