Официальное опубликование правовых актов
ОФИЦИАЛЬНОЕ ОПУБЛИКОВАНИЕ
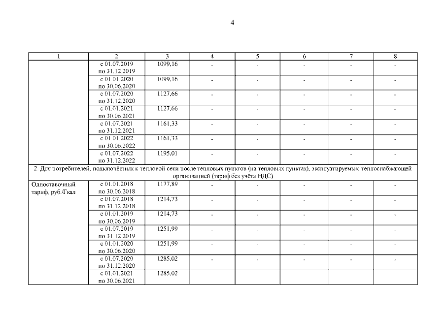
Приказ Департамента жилищно-коммунального хозяйства, энергетики и регулирования тарифов Ярославской области от 20.12.2018 № 357-ви
"О внесении изменения в приказ департамента жилищно-коммунального хозяйства, энергетики и регулирования тарифов Ярославской области от 18.12.2017 № 201-тэ"
(Зарегистрирован 20.12.2018 № 07-8616)
Номер опубликования: 7601201812290016
Дата опубликования: 29.12.2018
Страница №4 из 5:
Увеличить