Официальное опубликование правовых актов
ОФИЦИАЛЬНОЕ ОПУБЛИКОВАНИЕ
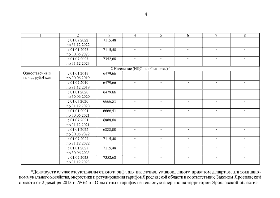
Приказ Департамента жилищно-коммунального хозяйства, энергетики и регулирования тарифов Ярославской области от 19.12.2018 № 303-тэ
"Об установлении тарифов на тепловую энергию, поставляемую потребителям муниципальным унитарным предприятием "Любимский теплосервис", на 2019 – 2023 годы"
(Зарегистрирован 19.12.2018 № 07-8555)
Номер опубликования: 7601201812250037
Дата опубликования: 25.12.2018
Страница №4 из 5:
Увеличить