Официальное опубликование правовых актов
ОФИЦИАЛЬНОЕ ОПУБЛИКОВАНИЕ
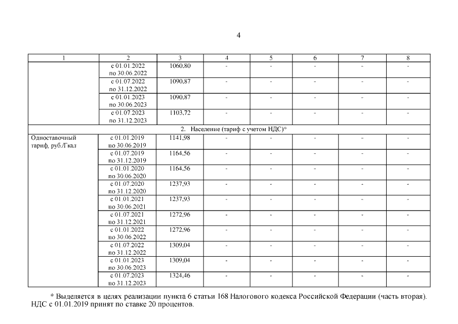
Приказ Департамента жилищно-коммунального хозяйства, энергетики и регулирования тарифов Ярославской области от 19.12.2018 № 307-тэ
"Об установлении тарифов на тепловую энергию, отпускаемую публичным акционерным обществом "ОДК – Сатурн" (городской округ город Рыбинск), на 2019 – 2023 годы"
(Зарегистрирован 19.12.2018 № 07-8559)
Номер опубликования: 7601201812250033
Дата опубликования: 25.12.2018
Страница №4 из 6:
Увеличить