Официальное опубликование правовых актов
ОФИЦИАЛЬНОЕ ОПУБЛИКОВАНИЕ
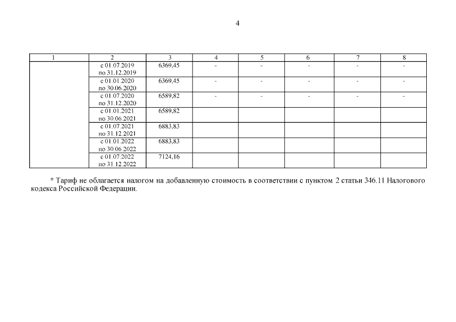
Приказ Департамента жилищно-коммунального хозяйства, энергетики и регулирования тарифов Ярославской области от 21.11.2018 № 124-ви
"О внесении изменения в приказ департамента жилищно-коммунального хозяйства, энергетики и регулирования тарифов Ярославской области от 18.12.2017 № 203-тэ"
(Зарегистрирован 26.11.2018 № 07-8348)
Номер опубликования: 7601201812030018
Дата опубликования: 03.12.2018
Страница №4 из 4:
Увеличить