Официальное опубликование правовых актов
ОФИЦИАЛЬНОЕ ОПУБЛИКОВАНИЕ
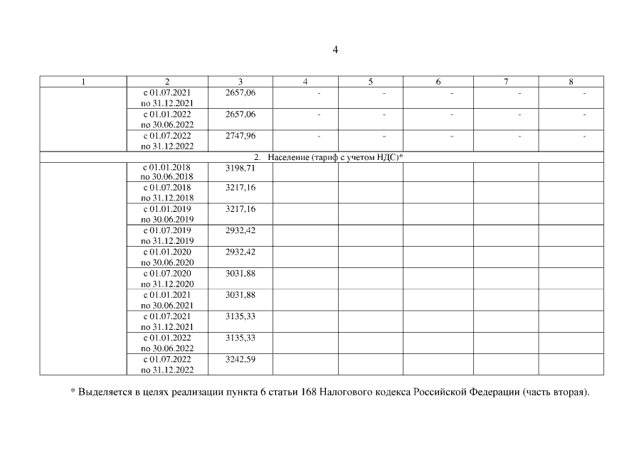
Приказ Департамента жилищно-коммунального хозяйства, энергетики и регулирования тарифов Ярославской области от 08.12.2017 № 136-тэ
"Об установлении тарифов на тепловую энергию, поставляемую потребителям муниципальным унитарным предприятием "Коммунальник" (Большесельский муниципальный район), на 2018 – 2022 годы"
(Зарегистрирован 13.12.2017 № 07-7385)
Номер опубликования: 7601201712180011
Дата опубликования: 18.12.2017
Страница №4 из 5:
Увеличить