Официальное опубликование правовых актов
ОФИЦИАЛЬНОЕ ОПУБЛИКОВАНИЕ
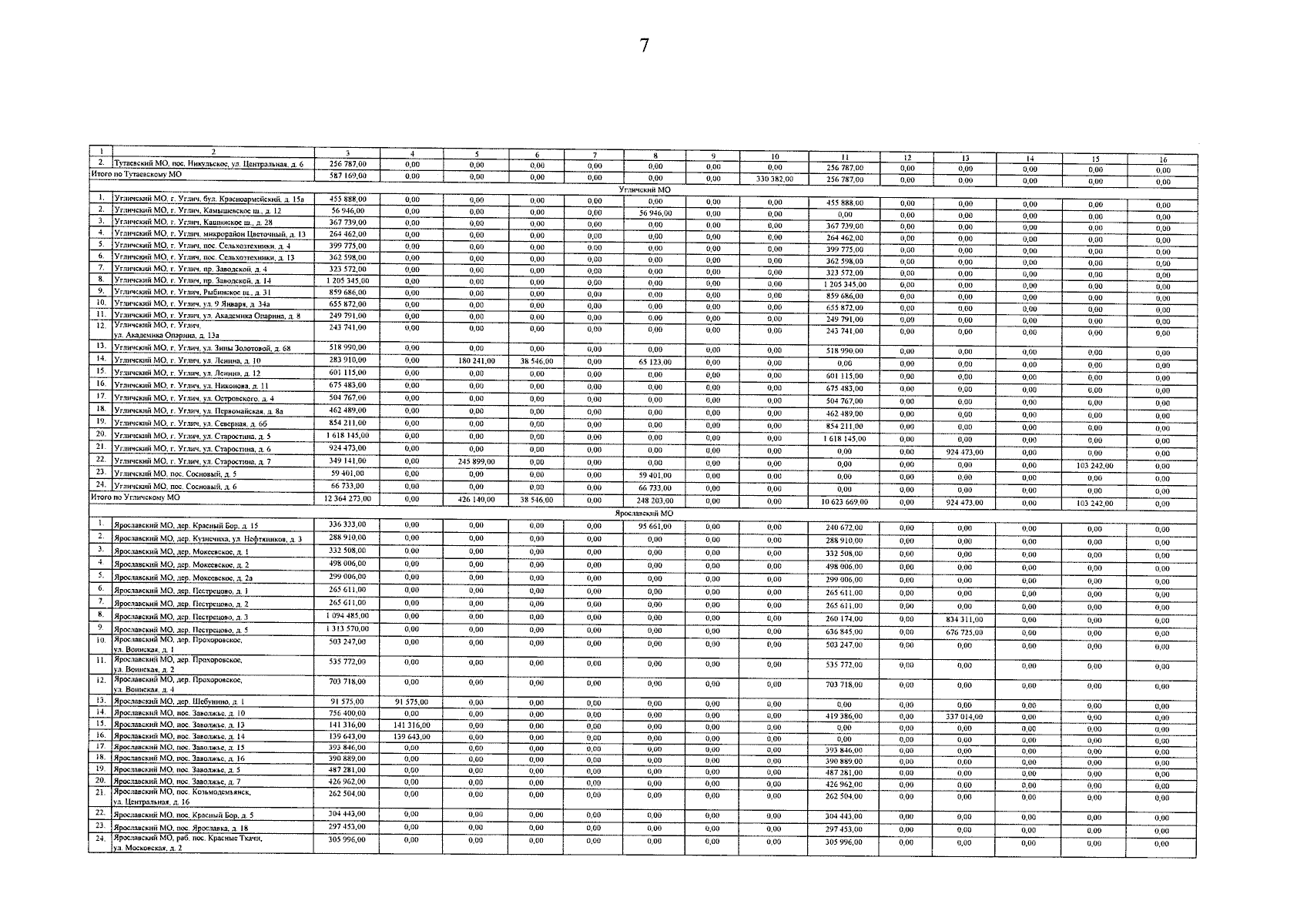
Постановление Правительства Ярославской области от 15.12.2025 № 1296-п
"Об утверждении регионального краткосрочного плана реализации региональной программы капитального ремонта общего имущества в многоквартирных домах Ярославской области на 2014 – 2064 годы на 2026 – 2028 годы"
Номер опубликования: 7600202512170003
Дата опубликования: 17.12.2025
Страница №38 из 46:
Увеличить