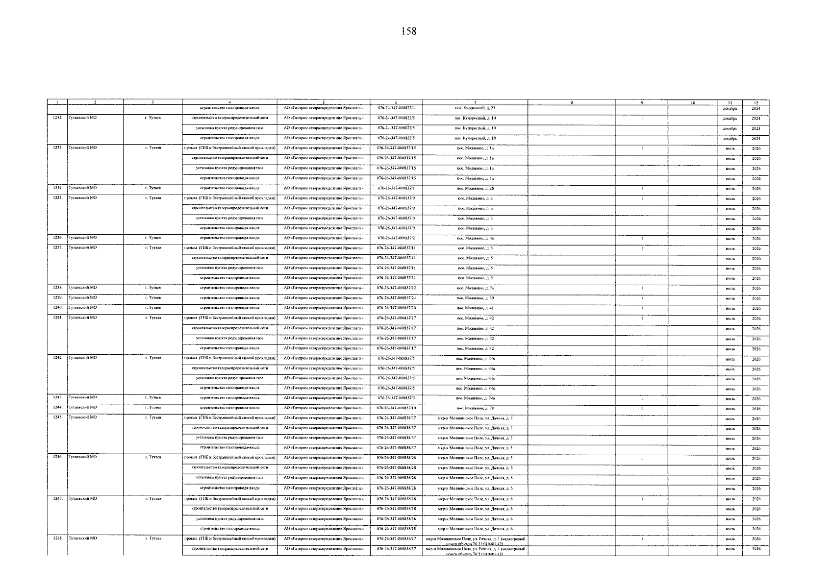
Постановление Правительства Ярославской области от 17.07.2025 № 735-п
"О внесении изменений в постановление Правительства Ярославской области от 15.02.2022 № 81-п"
"О внесении изменений в постановление Правительства Ярославской области от 15.02.2022 № 81-п"
Номер опубликования: 7600202507180009
Дата опубликования:
18.07.2025
