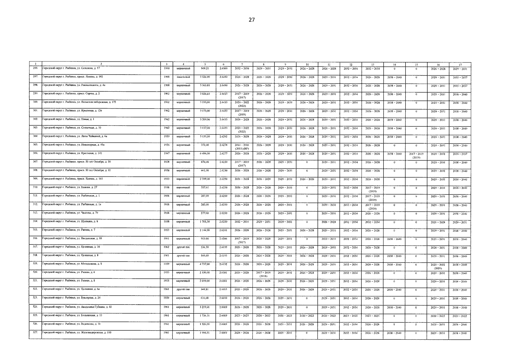
Постановление Правительства Ярославской области от 14.07.2025 № 717-п
"О внесении изменений в постановление Правительства Ярославской области от 31.12.2013 № 1779-п"
"О внесении изменений в постановление Правительства Ярославской области от 31.12.2013 № 1779-п"
Номер опубликования: 7600202507170003
Дата опубликования:
17.07.2025
