Официальное опубликование правовых актов
ОФИЦИАЛЬНОЕ ОПУБЛИКОВАНИЕ
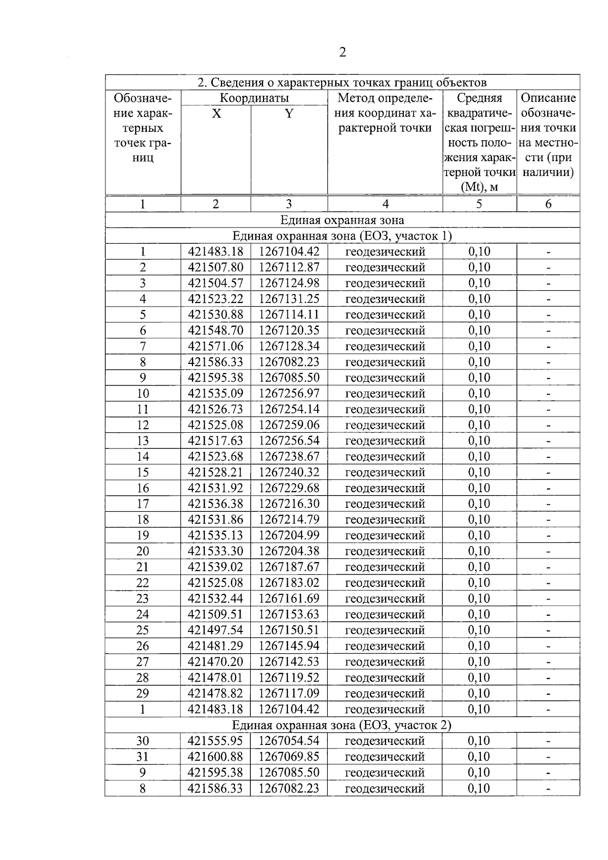
Постановление Правительства Ярославской области от 26.06.2025 № 638-п
"Об утверждении границ и ограничений использования земельных участков, водных объектов и их частей, требований к градостроительным регламентам в границах объединенной зоны охраны объектов культурного наследия (памятников истории и культуры)"
Номер опубликования: 7600202506260003
Дата опубликования: 26.06.2025
Страница №4 из 14:
Увеличить