Официальное опубликование правовых актов
ОФИЦИАЛЬНОЕ ОПУБЛИКОВАНИЕ
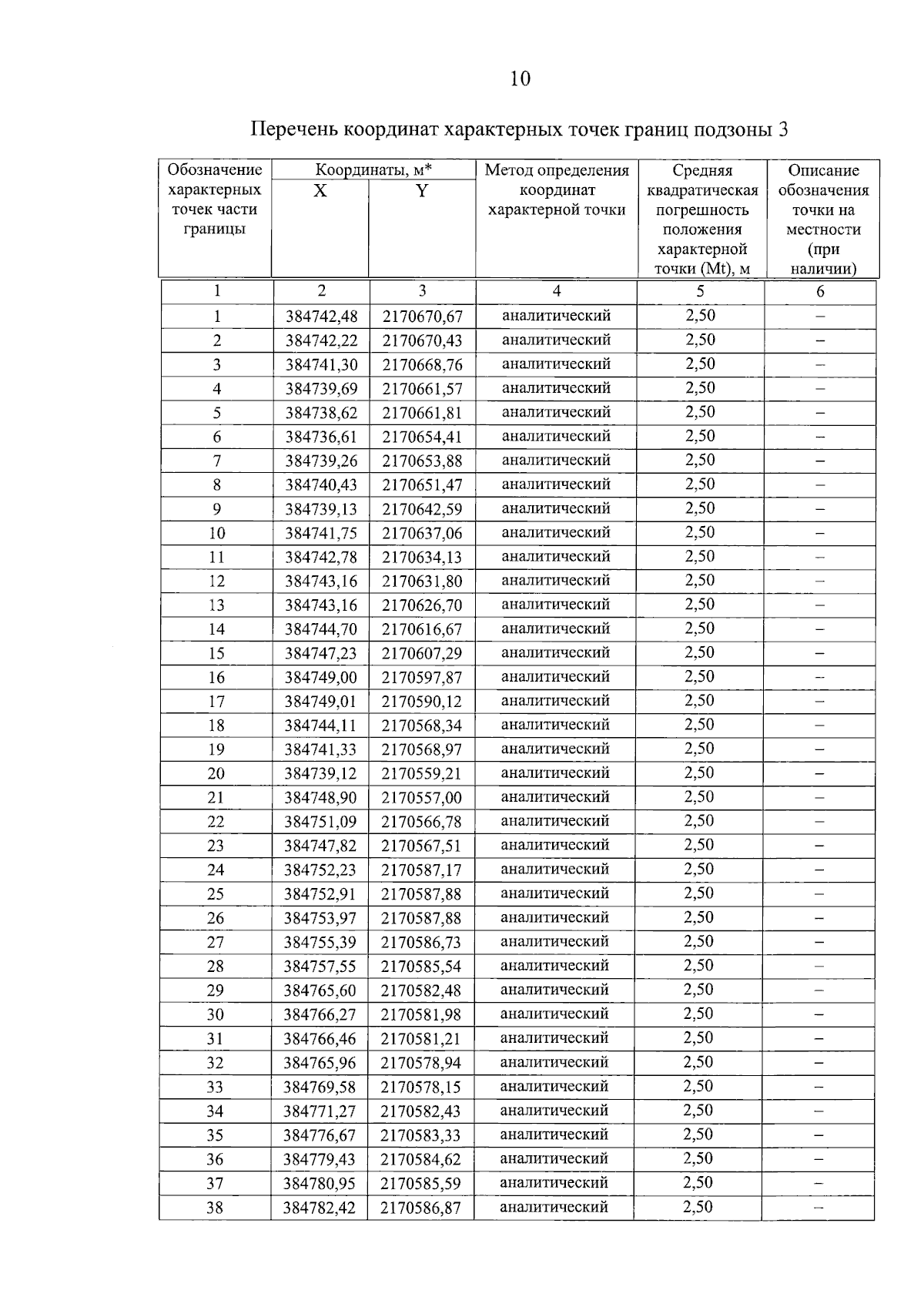
Постановление Правительства Ярославской области от 04.06.2025 № 566-п
"О выделении зоны ограниченного хозяйственного использования, об утверждении Положения о памятнике природы "Мемориальный парк в дер. Грешнево" и о внесении изменений в постановления Правительства Ярославской области от 01.07.2010 № 460-п, от 02.11.2017 № 823-п"
Номер опубликования: 7600202506090001
Дата опубликования: 09.06.2025
Страница №41 из 47:
Увеличить