Официальное опубликование правовых актов
ОФИЦИАЛЬНОЕ ОПУБЛИКОВАНИЕ
Постановление Правительства Ярославской области от 28.05.2025 № 537-п
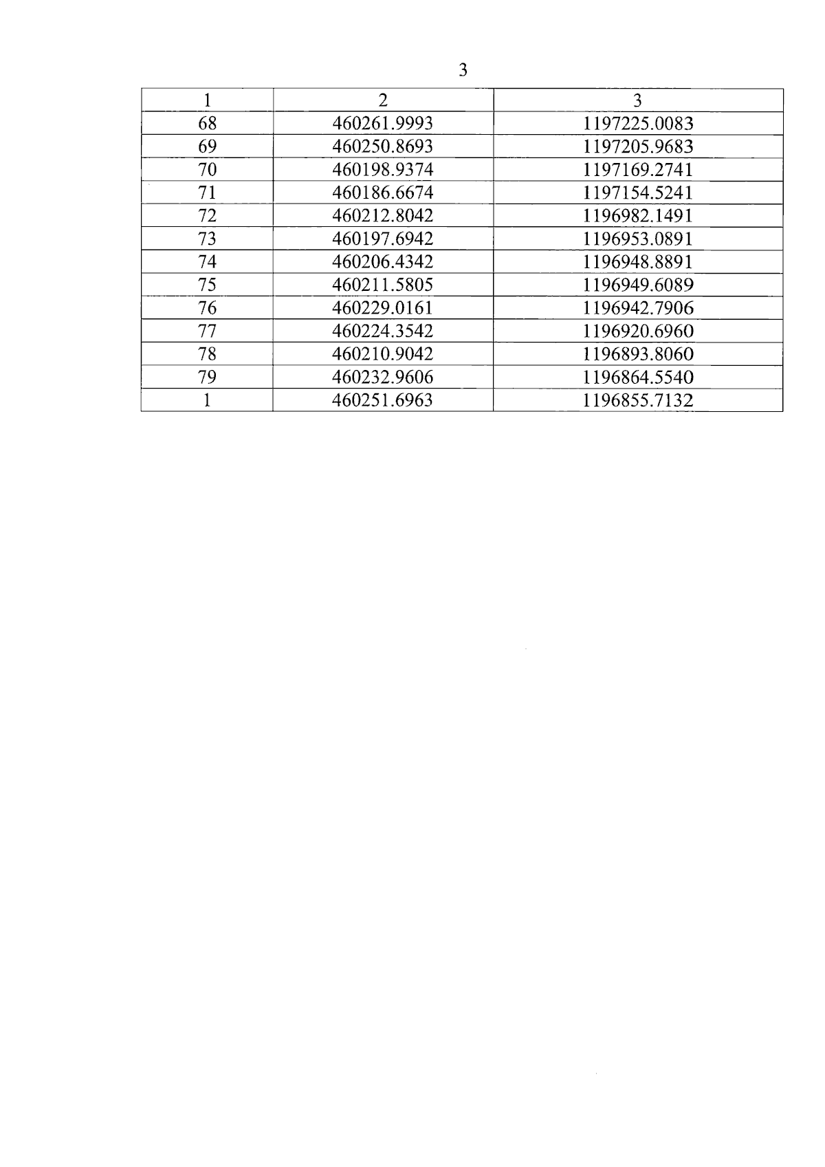
"О включении населенного пункта в перечень исторических поселений, имеющих особое значение для истории и культуры Ярославской области, об утверждении границ территории, предмета охраны и требований к градостроительным регламентам в границах территории исторического поселения регионального значения с. Прозорово Брейтовского района Ярославской области"
Номер опубликования: 7600202505290004
Дата опубликования: 29.05.2025
Страница №5 из 42:
Увеличить