Официальное опубликование правовых актов
ОФИЦИАЛЬНОЕ ОПУБЛИКОВАНИЕ
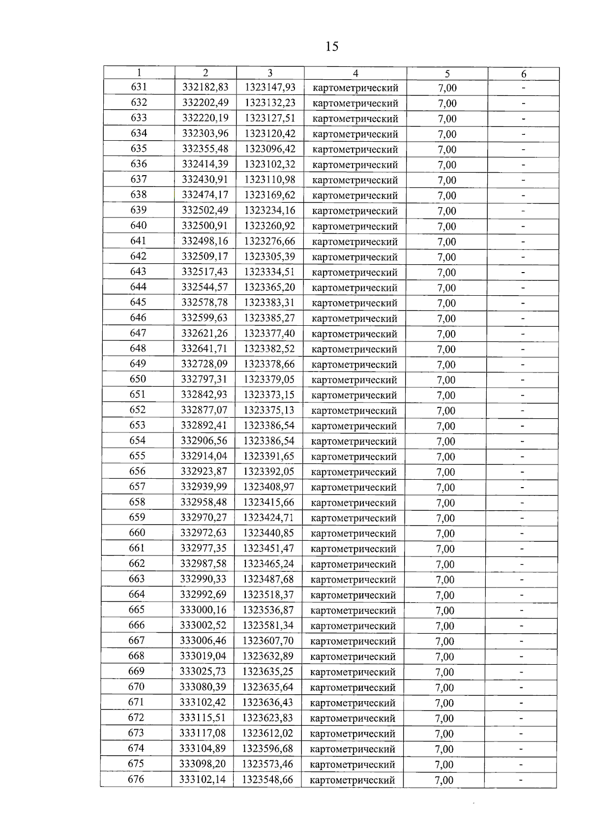
Постановление Правительства Ярославской области от 03.02.2025 № 67-п
"О выделении зоны ограниченного хозяйственного использования, об утверждении Положения о государственном природном заказнике "Гаврилов-Ямский", о признании утратившими силу постановлений Правительства Ярославской области от 21.07.2021 № 475-п, от 04.03.2024 № 233-п и о внесении изменений в постановление Администрации Ярославской области от 15.12.2003 № 247 и постановление Правительства Ярославской области от 01.07.2010 № 460-п"
Номер опубликования: 7600202502030005
Дата опубликования: 03.02.2025
Страница №64 из 153:
Увеличить