Официальное опубликование правовых актов
ОФИЦИАЛЬНОЕ ОПУБЛИКОВАНИЕ
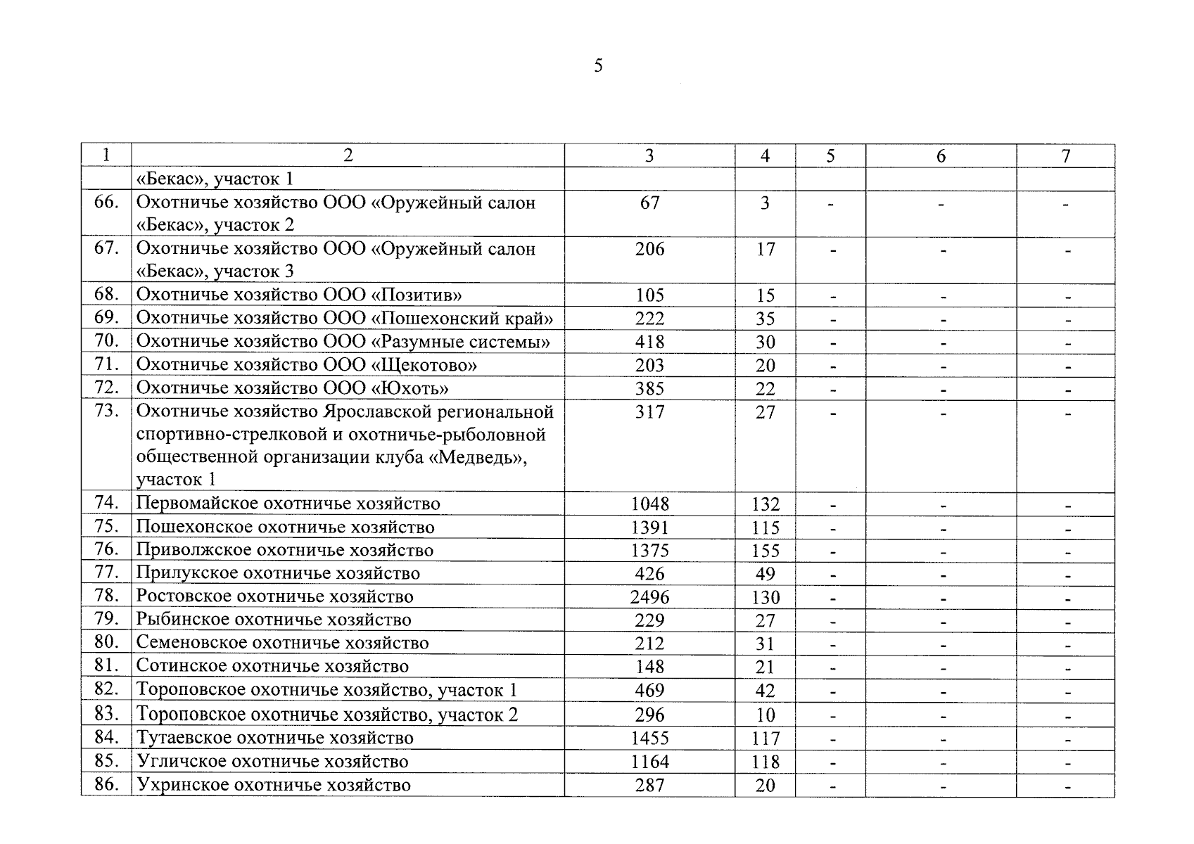
Указ Губернатора Ярославской области от 24.07.2024 № 217
"Об утверждении лимитов и квот добычи охотничьих ресурсов на территории Ярославской области и о признании утратившими силу указов Губернатора Ярославской области от 20.07.2023 № 168 и от 18.08.2023 № 195"
Номер опубликования: 7600202407260001
Дата опубликования: 26.07.2024
Страница №8 из 18:
Увеличить