Официальное опубликование правовых актов
ОФИЦИАЛЬНОЕ ОПУБЛИКОВАНИЕ
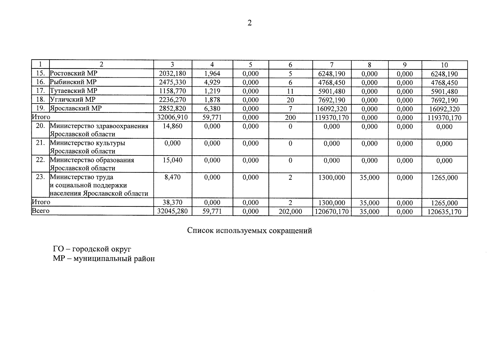
Постановление Правительства Ярославской области от 16.05.2024 № 555-п
"О подготовке объектов жилищно-коммунального хозяйства и социальной сферы Ярославской области к осенне-зимнему периоду 2024/2025 годов"
Номер опубликования: 7600202405200002
Дата опубликования: 20.05.2024
Страница №14 из 21:
Увеличить