Официальное опубликование правовых актов
ОФИЦИАЛЬНОЕ ОПУБЛИКОВАНИЕ
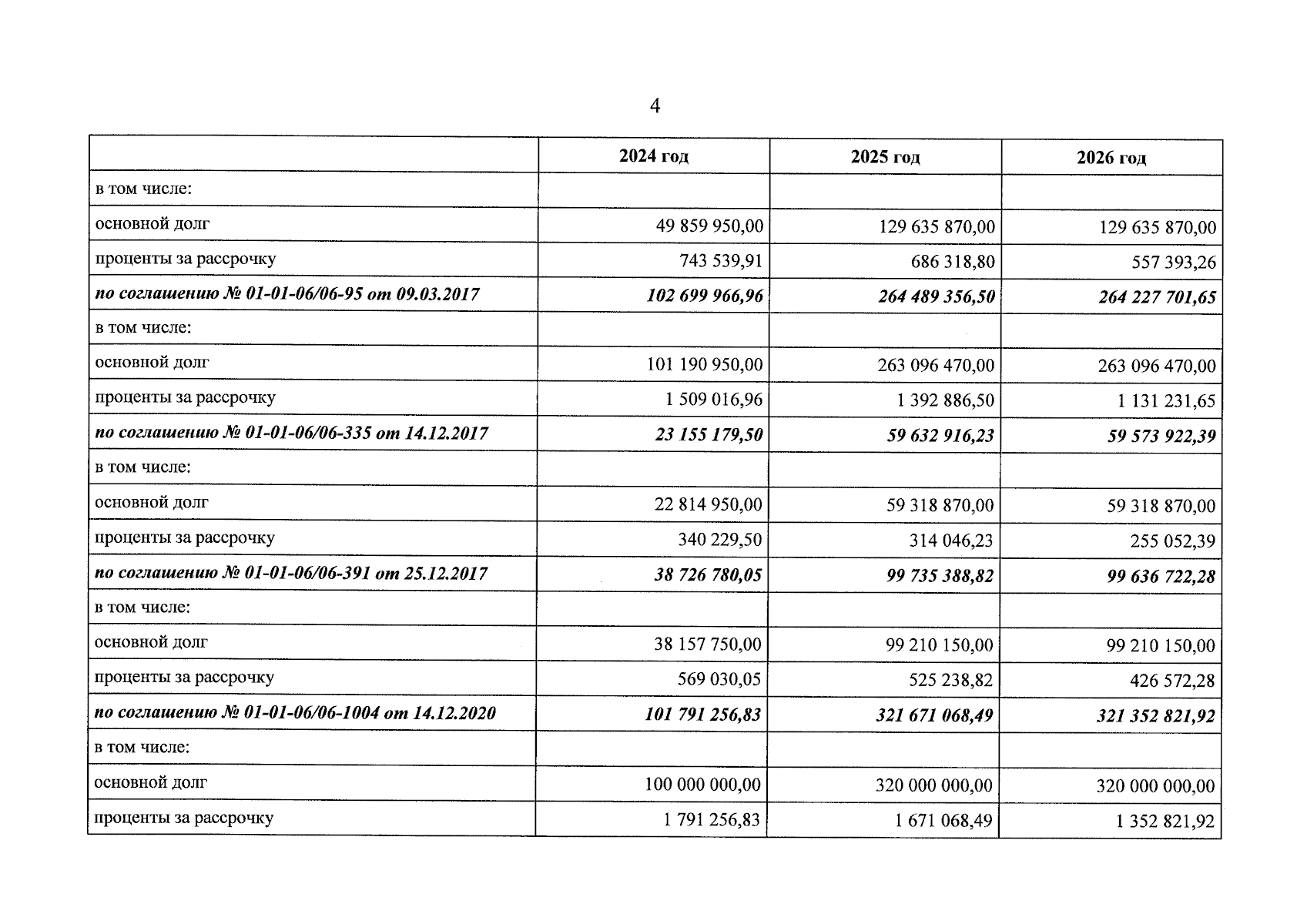
Закон Ярославской области от 14.02.2024 № 1-з
"О внесении изменений в Закон Ярославской области "Об областном бюджете на 2024 год и на плановый период 2025 и 2026 годов"
Номер опубликования: 7600202402160001
Дата опубликования: 16.02.2024
Страница №596 из 597:
Увеличить