Официальное опубликование правовых актов
ОФИЦИАЛЬНОЕ ОПУБЛИКОВАНИЕ
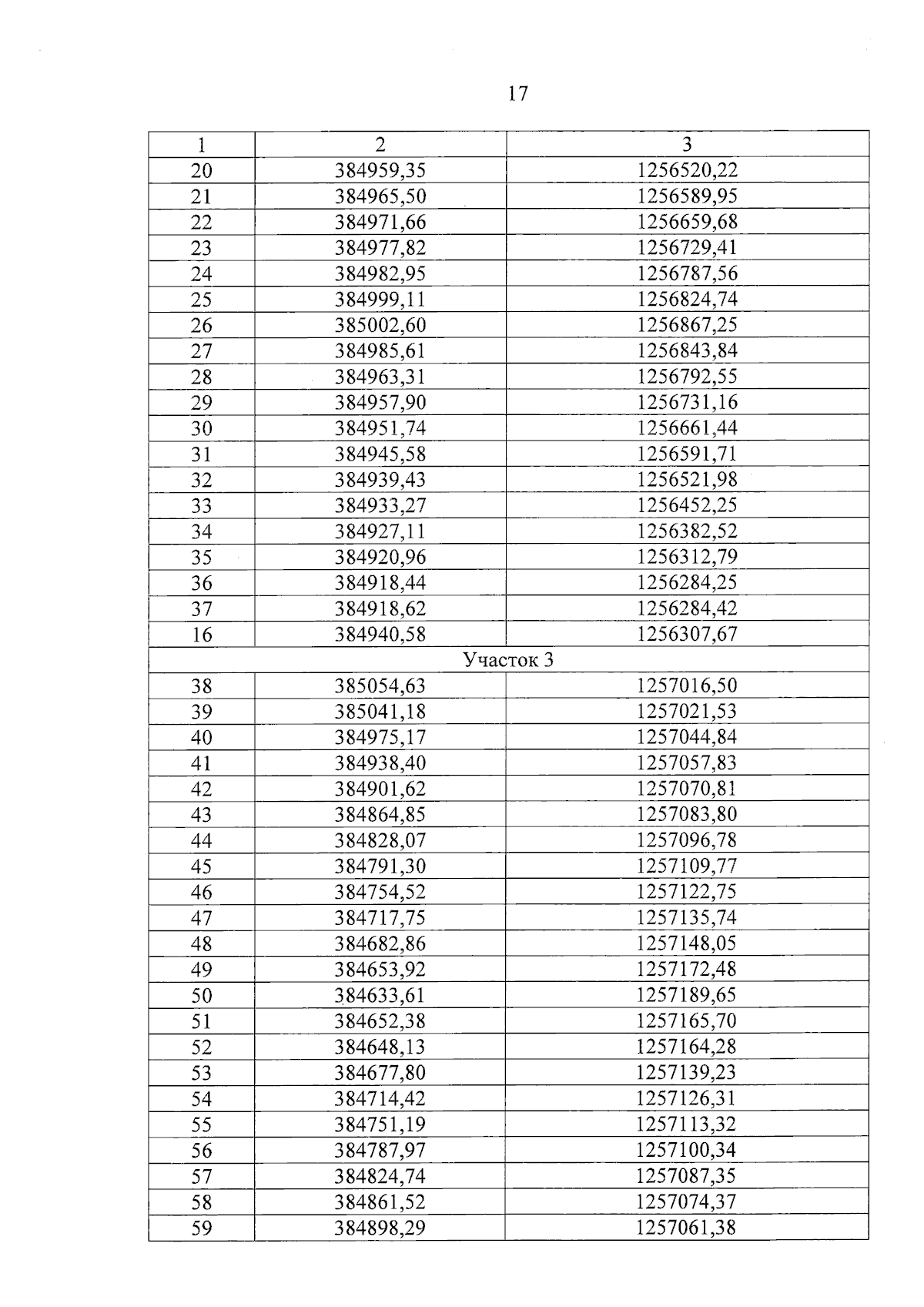
Постановление Правительства Ярославской области от 18.01.2024 № 24-п
"О выделении в памятнике природы "Долина реки Юхоти (среднее течение)" зоны ограниченного хозяйственного использования и о внесении изменений в постановление Правительства области от 24.11.2011 № 917-п"
Номер опубликования: 7600202401190001
Дата опубликования: 19.01.2024
Страница №19 из 20:
Увеличить