Официальное опубликование правовых актов
ОФИЦИАЛЬНОЕ ОПУБЛИКОВАНИЕ
Постановление Правительства Ярославской области от 21.12.2023 № 1359-п
"О внесении изменений в постановление Правительства области от 03.12.2019 № 825-п"
Номер опубликования: 7600202312250008
Дата опубликования: 25.12.2023
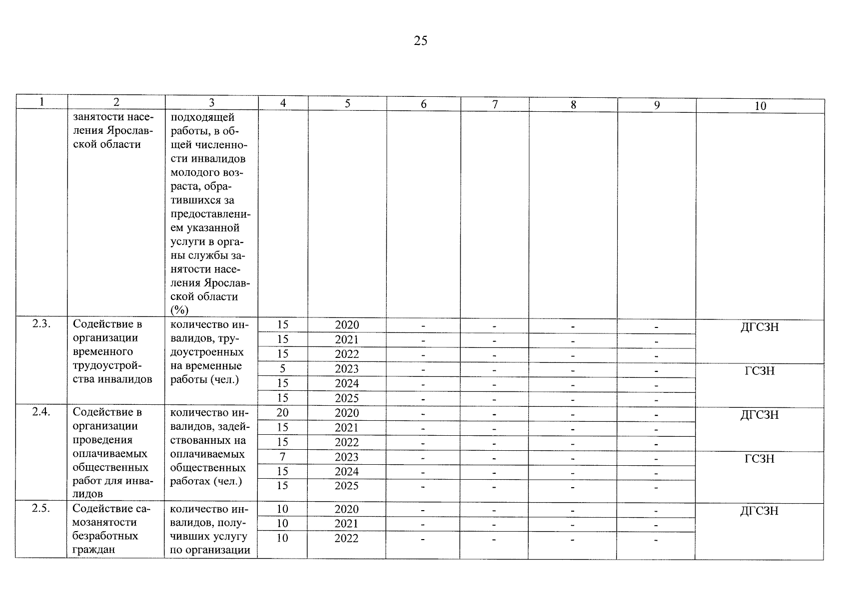
Страница №26 из 67:
Увеличить