Официальное опубликование правовых актов
ОФИЦИАЛЬНОЕ ОПУБЛИКОВАНИЕ
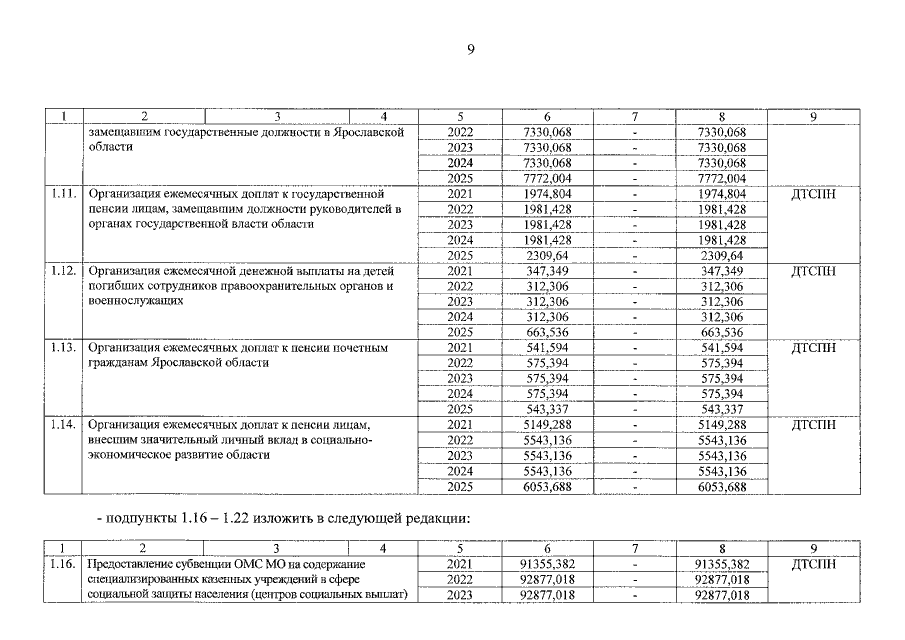
Постановление Правительства Ярославской области от 25.03.2022 № 202-п
"О внесении изменений в постановление Правительства области от 22.03.2021 № 128-п"
Номер опубликования: 7600202203290009
Дата опубликования: 29.03.2022
Страница №10 из 46:
Увеличить