Официальное опубликование правовых актов
ОФИЦИАЛЬНОЕ ОПУБЛИКОВАНИЕ
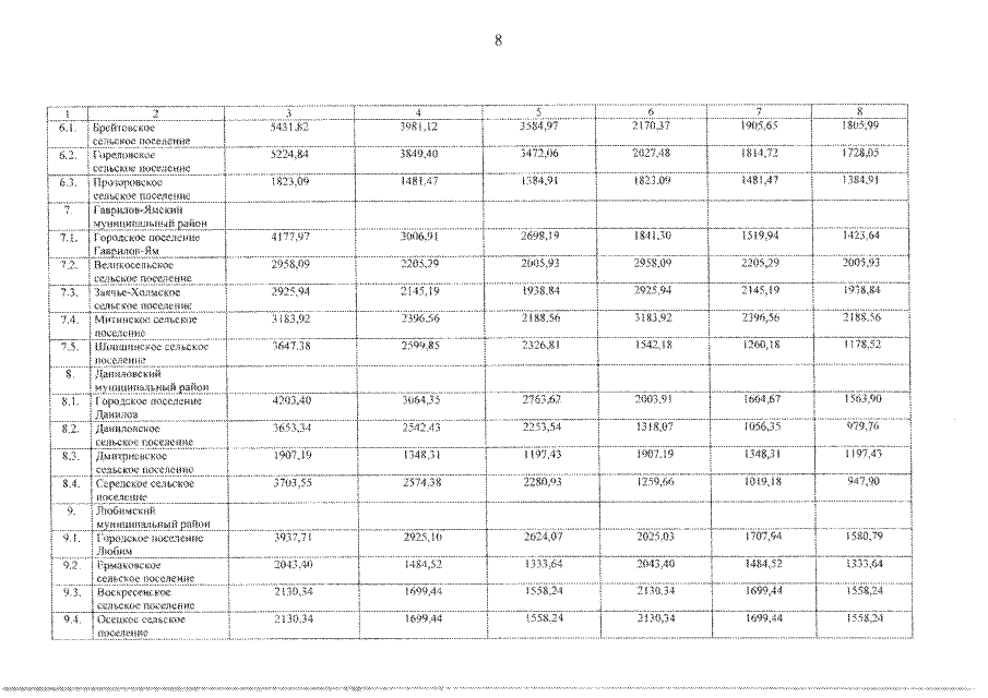
Постановление Правительства Ярославской области от 25.01.2022 № 24-п
"О внесении изменения в постановление Правительства области от 28.12.2009 № 1283-п"
Номер опубликования: 7600202201260008
Дата опубликования: 26.01.2022
Страница №9 из 13:
Увеличить