Официальное опубликование правовых актов
ОФИЦИАЛЬНОЕ ОПУБЛИКОВАНИЕ
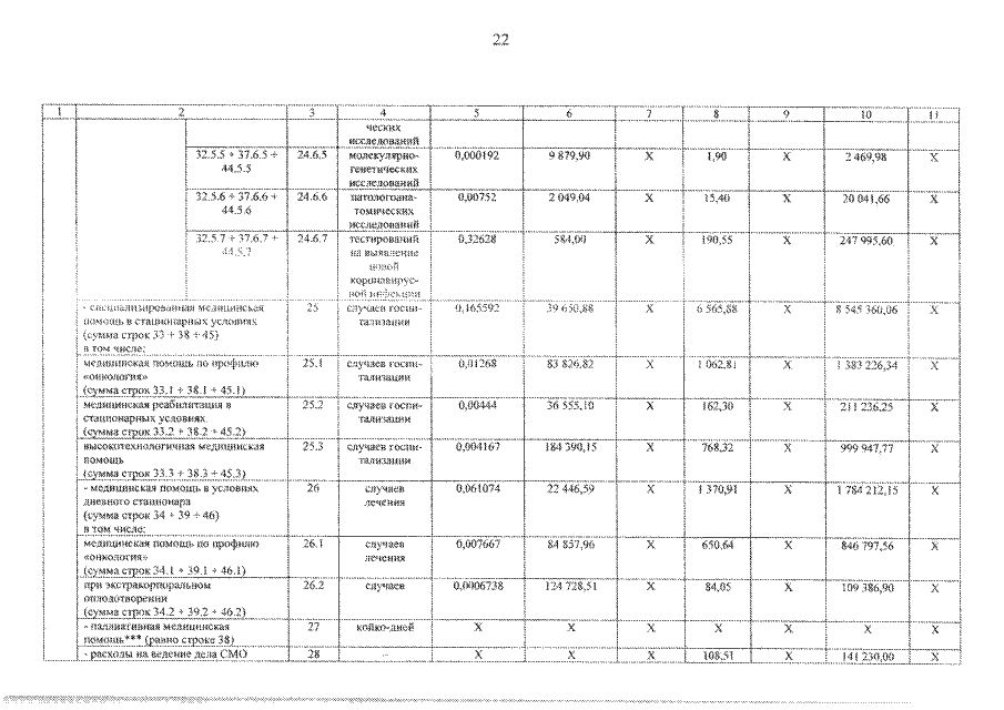
Постановление Правительства Ярославской области от 21.12.2021 № 915-п
"О внесении изменений в постановление Правительства области от 30.12.2020 № 1055-п"
Номер опубликования: 7600202112220002
Дата опубликования: 22.12.2021
Страница №23 из 38:
Увеличить