Официальное опубликование правовых актов
ОФИЦИАЛЬНОЕ ОПУБЛИКОВАНИЕ
Постановление Правительства Ярославской области от 31.08.2021 № 580-п
"О внесении изменений в постановление Правительства области от 30.03.2021 № 167-п"
Номер опубликования: 7600202109030013
Дата опубликования: 03.09.2021
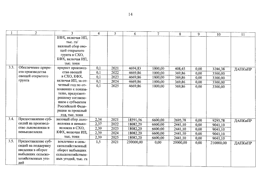
Страница №15 из 42:
Увеличить