Официальное опубликование правовых актов
ОФИЦИАЛЬНОЕ ОПУБЛИКОВАНИЕ
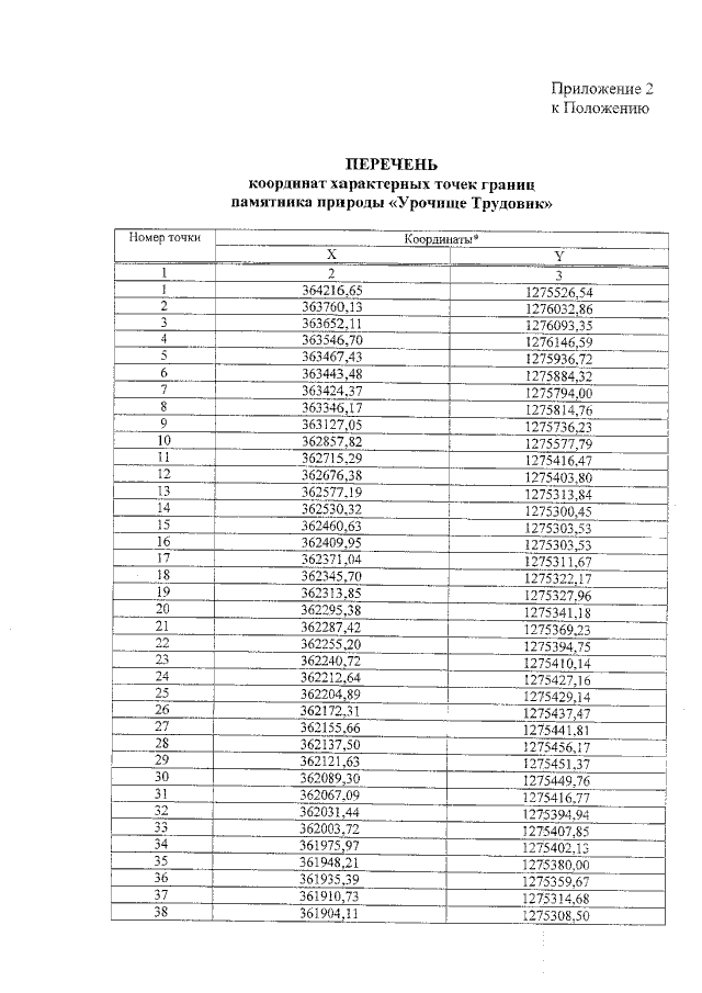
Постановление Правительства Ярославской области от 11.06.2020 № 493-п
"Об утверждении Положения о памятнике природы "Урочище Трудовик" и о внесении изменений в постановления Правительства области от 01.07.2010 № 460-п, от 02.11.2017 № 823-п"
Номер опубликования: 7600202006110009
Дата опубликования: 11.06.2020
Страница №17 из 21:
Увеличить