Официальное опубликование правовых актов
ОФИЦИАЛЬНОЕ ОПУБЛИКОВАНИЕ
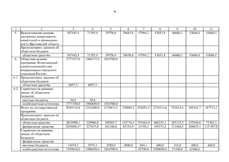
Постановление Правительства Ярославской области от 06.02.2020 № 93-п
"О внесении изменений в постановление Правительства области от 27.03.2014 № 257-п"
Номер опубликования: 7600202002110017
Дата опубликования: 11.02.2020
Страница №9 из 10:
Увеличить