Официальное опубликование правовых актов
ОФИЦИАЛЬНОЕ ОПУБЛИКОВАНИЕ
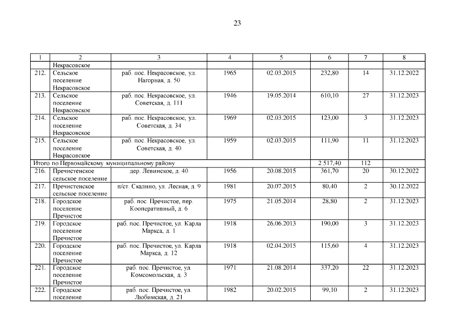
Постановление Правительства Ярославской области от 05.12.2019 № 844-п
"О внесении изменений в постановление Правительства области от 29.03.2019 № 224-п"
Номер опубликования: 7600201912110001
Дата опубликования: 11.12.2019
Страница №23 из 124:
Увеличить