Официальное опубликование правовых актов
ОФИЦИАЛЬНОЕ ОПУБЛИКОВАНИЕ
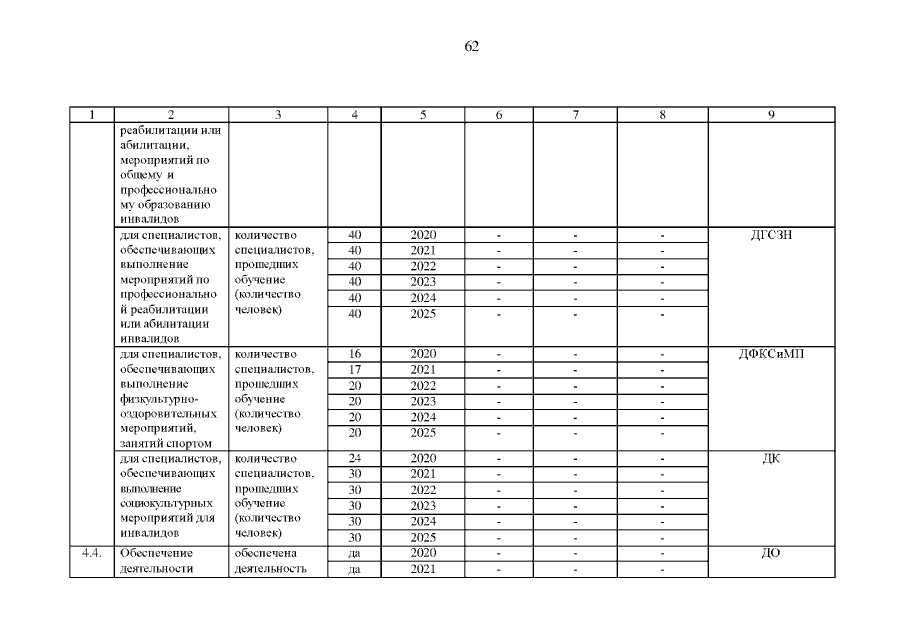
Постановление Правительства Ярославской области от 03.12.2019 № 825-п
"Об утверждении государственной программы Ярославской области "Доступная среда в Ярославской области" на 2020 – 2025 годы и признании утратившими силу постановлений Правительства области от 28.01.2019 № 25-п и от 18.03.2019 № 186-п"
Номер опубликования: 7600201912060001
Дата опубликования: 06.12.2019
Страница №62 из 74:
Увеличить