Официальное опубликование правовых актов
ОФИЦИАЛЬНОЕ ОПУБЛИКОВАНИЕ
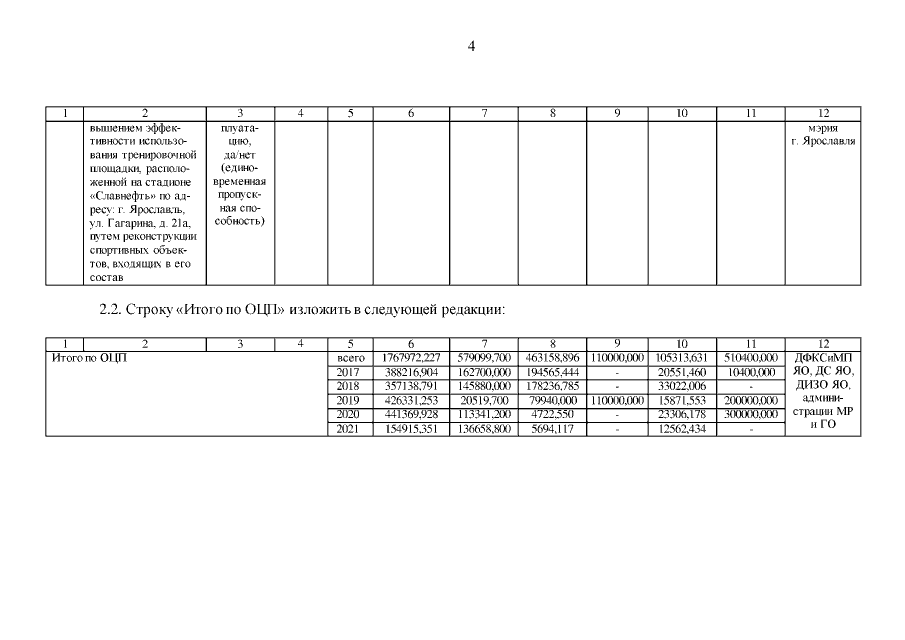
Постановление Правительства Ярославской области от 20.06.2019 № 429-п
"О внесении изменений в постановление Правительства области от 14.07.2017 № 582-п"
Номер опубликования: 7600201906240001
Дата опубликования: 24.06.2019
Страница №4 из 4:
Увеличить