Официальное опубликование правовых актов
ОФИЦИАЛЬНОЕ ОПУБЛИКОВАНИЕ
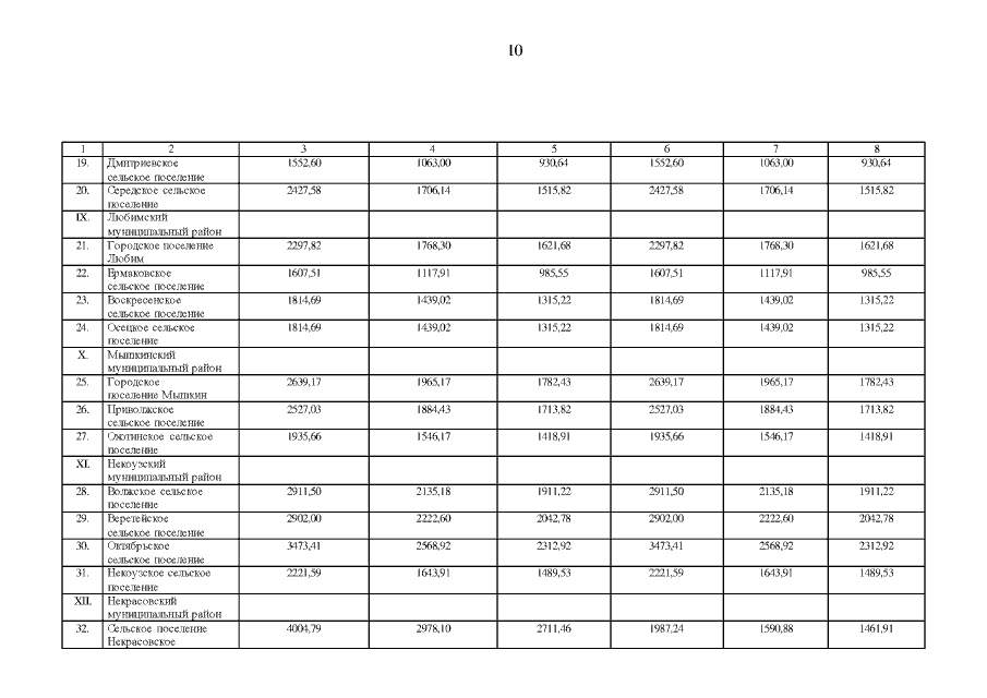
Постановление Правительства Ярославской области от 18.07.2018 № 535-п
"О внесении изменений в постановление Правительства области от 28.12.2009 № 1283-п"
Номер опубликования: 7600201807230002
Дата опубликования: 23.07.2018
Страница №10 из 13:
Увеличить