Официальное опубликование правовых актов
ОФИЦИАЛЬНОЕ ОПУБЛИКОВАНИЕ
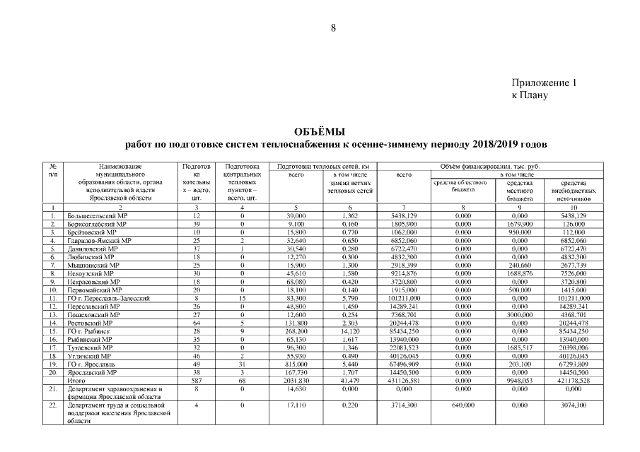
Постановление Правительства Ярославской области от 05.06.2018 № 423-п
"О подготовке объектов жилищно-коммунального хозяйства и социальной сферы Ярославской области к осенне-зимнему периоду 2018/2019 годов"
Номер опубликования: 7600201806070009
Дата опубликования: 07.06.2018
Страница №8 из 20:
Увеличить