Официальное опубликование правовых актов
ОФИЦИАЛЬНОЕ ОПУБЛИКОВАНИЕ
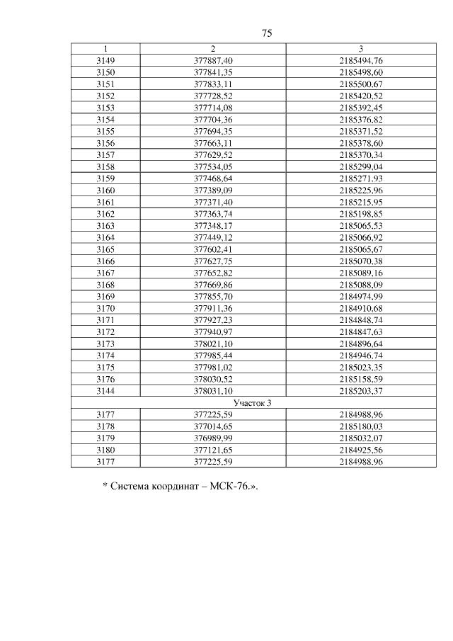
Постановление Правительства Ярославской области от 08.11.2017 № 842-п
"Об изменении границ заказника "Левашовский" и внесении изменений в постановления Правительства области от 01.07.2010 № 460-п, от 22.08.2016 № 982-п"
Номер опубликования: 7600201711130001
Дата опубликования: 13.11.2017
Страница №75 из 75:
Увеличить