Официальное опубликование правовых актов
ОФИЦИАЛЬНОЕ ОПУБЛИКОВАНИЕ
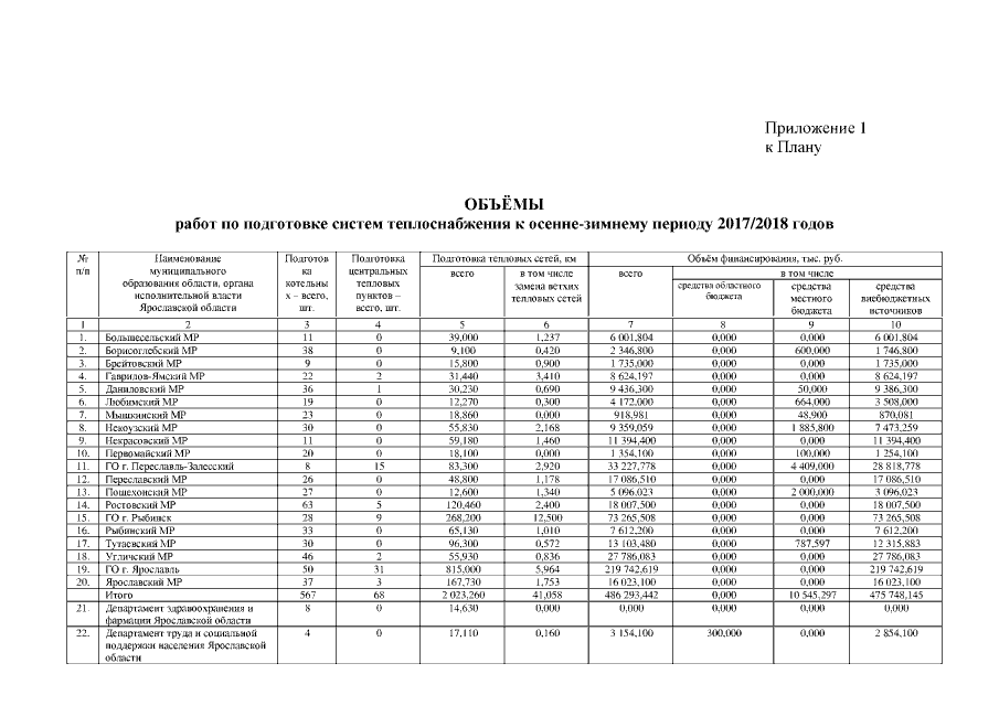
Постановление Правительства Ярославской области от 06.06.2017 № 436-п
"О подготовке объектов жилищно-коммунального хозяйства и социальной сферы Ярославской области к осенне-зимнему периоду 2017/2018 годов"
Номер опубликования: 7600201706070002
Дата опубликования: 07.06.2017
Страница №8 из 20:
Увеличить