Официальное опубликование правовых актов
ОФИЦИАЛЬНОЕ ОПУБЛИКОВАНИЕ
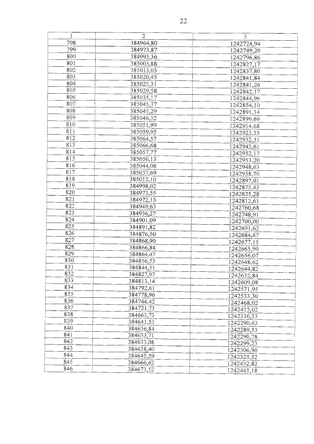
Постановление Правительства Ярославской области от 16.05.2017 № 403-п
"Об изменении границ заказника "Верхне-Волжский" и внесении изменений в постановления Правительства области от 01.07.2010 № 460-п, от 03.10.2014 № 977-п"
Номер опубликования: 7600201705180001
Дата опубликования: 18.05.2017
Страница №28 из 58:
Увеличить