Официальное опубликование правовых актов
ОФИЦИАЛЬНОЕ ОПУБЛИКОВАНИЕ
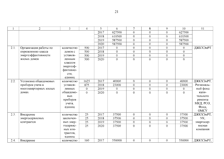
Постановление Правительства Ярославской области от 09.02.2017 № 88-п
"Об утверждении региональной программы "Энергосбережение и повышение энергоэффективности в Ярославской области" на 2017 – 2020 годы"
Номер опубликования: 7600201702100005
Дата опубликования: 10.02.2017
Страница №22 из 38:
Увеличить