Постановление Правительства Ярославской области от 20.10.2016 № 1106-п
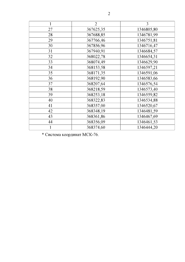
"Об утверждении границы охранной зоны объекта газораспределительной сети "Газопровод высокого давления, назначение: газопровод высокого давления, протяженность 970 м, адрес (местонахождение) объекта: Ярославская область, Ярославский р-н, пос. Туношна-городок 26"
"Об утверждении границы охранной зоны объекта газораспределительной сети "Газопровод высокого давления, назначение: газопровод высокого давления, протяженность 970 м, адрес (местонахождение) объекта: Ярославская область, Ярославский р-н, пос. Туношна-городок 26"
Номер опубликования: 7600201610250015
Дата опубликования:
25.10.2016
