Официальное опубликование правовых актов
ОФИЦИАЛЬНОЕ ОПУБЛИКОВАНИЕ
Постановление Правительства Ярославской области от 20.10.2016 № 1114-п
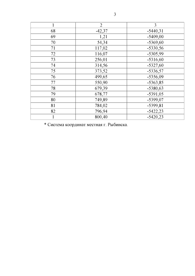
"Об утверждении границы охранной зоны объекта газораспределительной сети "Газопровод среднего давления, назначение: газопровод, протяженность 3422,55 м, инв. № 00910, лит. А"
Номер опубликования: 7600201610240014
Дата опубликования: 24.10.2016
Страница №5 из 5:
Увеличить