Официальное опубликование правовых актов
ОФИЦИАЛЬНОЕ ОПУБЛИКОВАНИЕ
Постановление Правительства Ярославской области от 06.07.2016 № 800-п
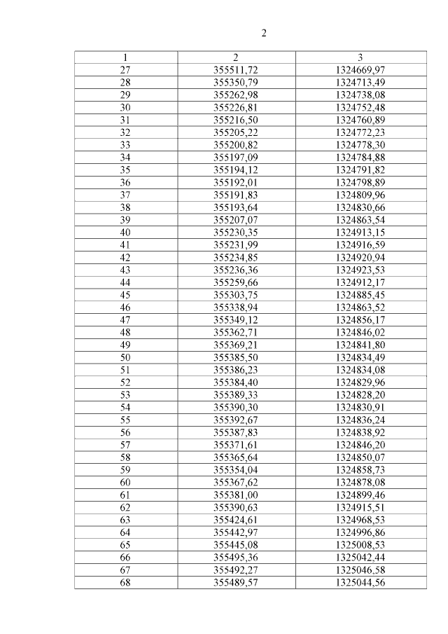
"Об утверждении границы охранной зоны объекта газораспределительной сети "Подземный газопровод низкого давления, назначение: 9) иные сооружения производственного назначения, протяженность 1605 м, адрес (местоположение) объекта: Российская Федерация, Ярославская область, Ярославский р-н, Карабихский сельский округ, между рекой Которосль и коллективным садом в районе с. Введенье"
Номер опубликования: 7600201607080003
Дата опубликования: 08.07.2016
Страница №4 из 6:
Увеличить