Официальное опубликование правовых актов
ОФИЦИАЛЬНОЕ ОПУБЛИКОВАНИЕ
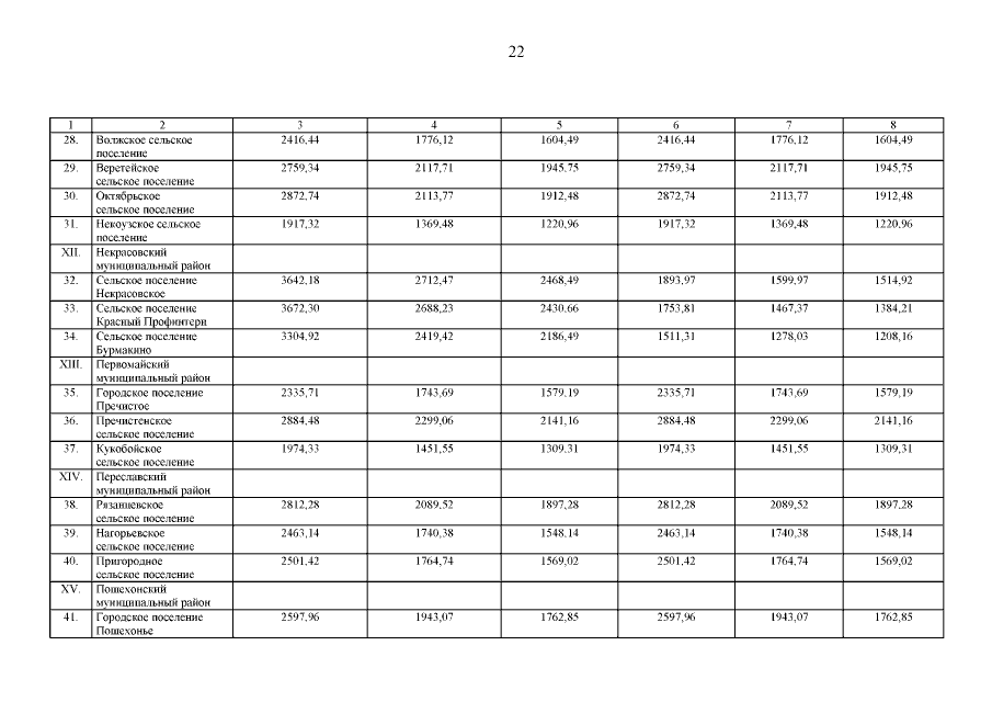
Постановление Правительства Ярославской области от 26.05.2016 № 614-п
"О внесении изменения в постановление Правительства области от 28.12.2009 № 1283-п"
Номер опубликования: 7600201605270008
Дата опубликования: 27.05.2016
Страница №23 из 26:
Увеличить