Официальное опубликование правовых актов
ОФИЦИАЛЬНОЕ ОПУБЛИКОВАНИЕ
Постановление Правительства Ярославской области от 22.04.2016 № 489-п
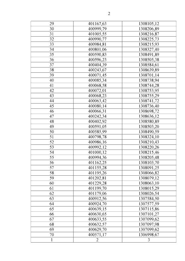
"Об утверждении границы охранной зоны объекта газораспределительной сети "Газопровод высокого давления, назначение: нежилое, протяженность 3650 м, адрес (местоположение) объекта: Ярославская область, г. Тутаев, от места врезки у ГРС г. Тутаева до здания районной котельной г. Тутаева"
Номер опубликования: 7600201604280002
Дата опубликования: 28.04.2016
Страница №4 из 5:
Увеличить