Официальное опубликование правовых актов
ОФИЦИАЛЬНОЕ ОПУБЛИКОВАНИЕ
Постановление Правительства Ярославской области от 14.04.2016 № 433-п
"О внесении изменения в постановление Правительства области от 28.03.2014 № 275-п"
Номер опубликования: 7600201604220017
Дата опубликования: 22.04.2016
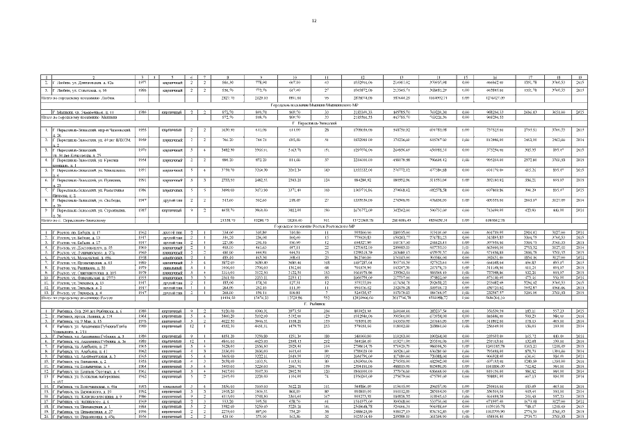
Страница №13 из 84:
Увеличить