Постановление Правительства Ярославской области от 12.04.2016 № 404-п
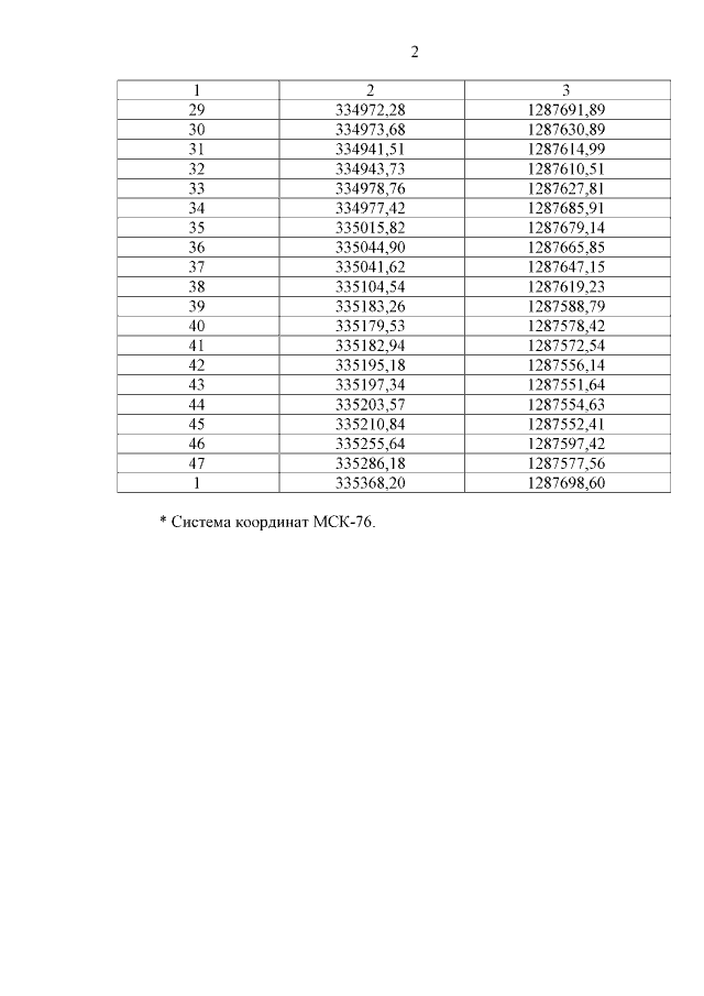
"Об утверждении границы охранной зоны объекта газораспределительной сети "Газопровод низкого давления, назначение: нежилое, протяженность 1300,28 п.м, инв. № 000181, адрес (местоположение) объекта: Ярославская область, Борисоглебский р-н, р.п. Борисоглебский, ул. Мира, Луговая, Юбилейная, Солнечная"
"Об утверждении границы охранной зоны объекта газораспределительной сети "Газопровод низкого давления, назначение: нежилое, протяженность 1300,28 п.м, инв. № 000181, адрес (местоположение) объекта: Ярославская область, Борисоглебский р-н, р.п. Борисоглебский, ул. Мира, Луговая, Юбилейная, Солнечная"
Номер опубликования: 7600201604150027
Дата опубликования:
15.04.2016
