Официальное опубликование правовых актов
ОФИЦИАЛЬНОЕ ОПУБЛИКОВАНИЕ
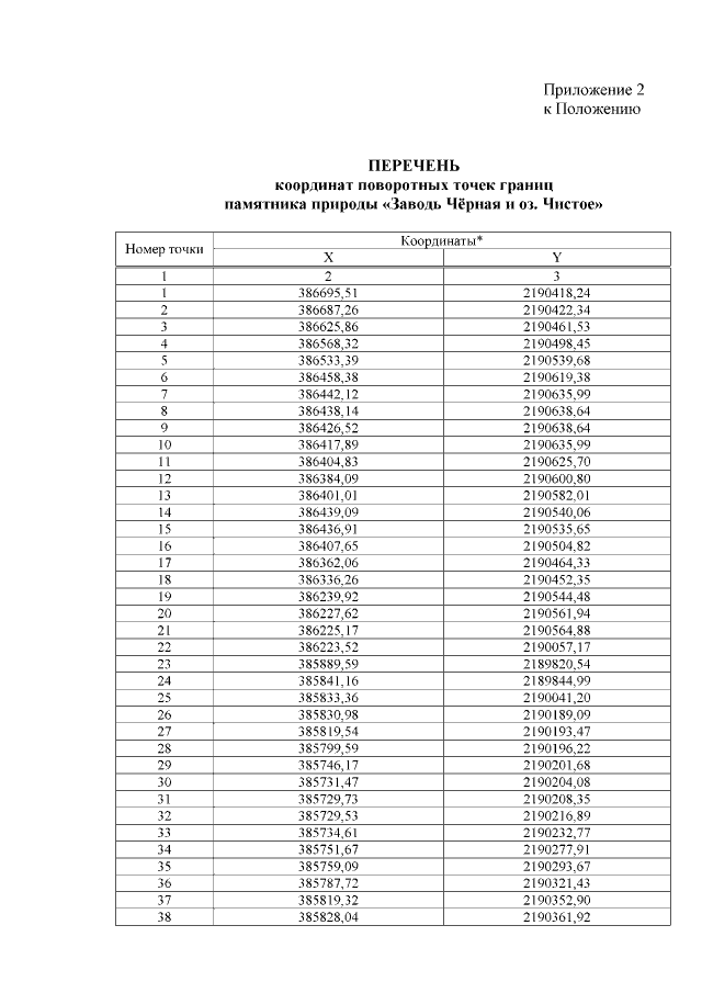
Постановление Правительства Ярославской области от 05.04.2016 № 368-п
"Об утверждении Положения о памятнике природы "Заводь Чёрная и оз. Чистое" и о внесении изменений в постановление Правительства области от 01.07.2010 № 460-п"
Номер опубликования: 7600201604060012
Дата опубликования: 06.04.2016
Страница №13 из 27:
Увеличить