Официальное опубликование правовых актов
ОФИЦИАЛЬНОЕ ОПУБЛИКОВАНИЕ
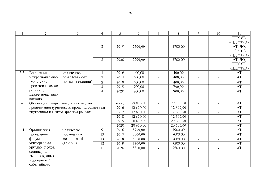
Постановление Правительства Ярославской области от 25.03.2016 № 317-п
"Об областной целевой программе "Развитие туризма и отдыха в Ярославской области" на 2016 – 2020 годы"
Номер опубликования: 7600201603310001
Дата опубликования: 31.03.2016
Страница №21 из 69:
Увеличить