Официальное опубликование правовых актов
ОФИЦИАЛЬНОЕ ОПУБЛИКОВАНИЕ
Постановление Правительства Ярославской области от 25.03.2016 № 308-п
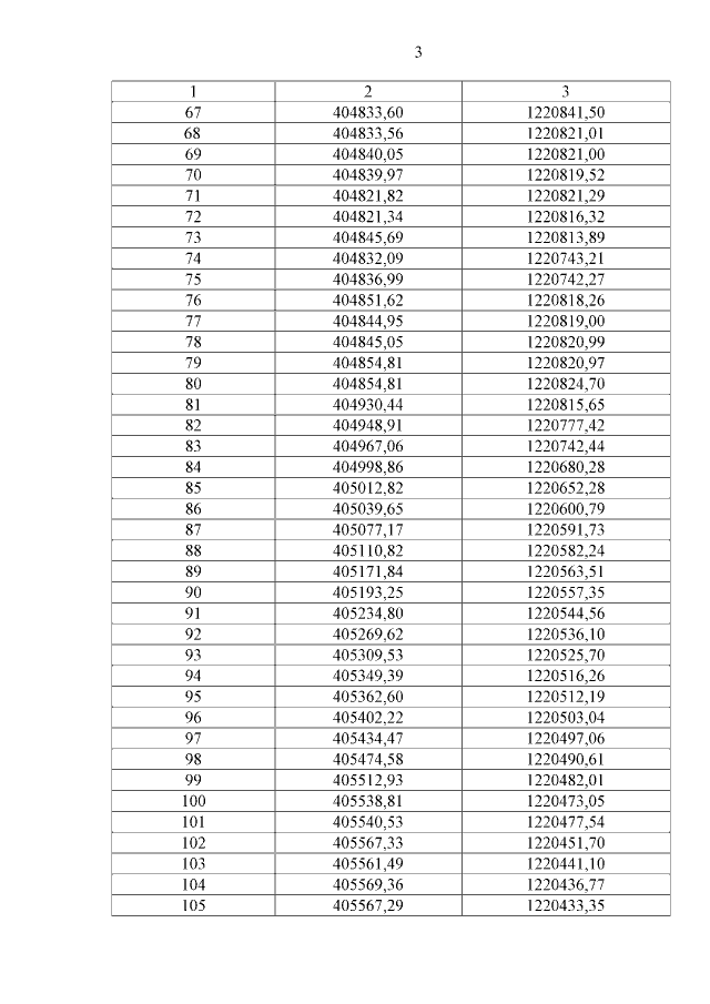
"Об утверждении границы охранной зоны объекта газораспределительной сети "Сооружение, назначение: газопровод, протяженность 6903 м, инв. № 50060, лит. А, А1"
Номер опубликования: 7600201603280010
Дата опубликования: 28.03.2016
Страница №17 из 22:
Увеличить